Medição do Nível da Interface por Displacer (Deslocador) – Princípio empuxo
Medição do nível de interface por deslocador – tem seu princípio de medição baseada no princípio físico de flutuabilidade de Arquimedes, que sustenta que qualquer objeto, total ou parcialmente imerso em um fluido, é impulsionado por uma força igual ao peso do fluido deslocado pelo objeto. Conforme o nível do líquido se move para cima no deslocador, a força de empuxo aumenta e há um movimento vertical que pode ser convertido para o nível do líquido usando sistemas microprocessado com tecnologia avançada
As existindo basicamente duas tecnologias mais utilizadas para esse tipo de medição por displacer que são os de tubos de torque e as tecnologias de mola de alcance / LVDT (transformador diferencial variável linear). Um tubo de torque usa uma barra de torção que gira em relação ao peso do deslocador no fluido para corresponder a uma leitura de nível. A combinação de mola de alcance e LVDT usa um núcleo LVDT que se move quando a mola é descarregada por ter fluido no deslocador, fazendo com que as tensões sejam induzidas através dos enrolamentos secundários e convertidas em uma leitura de nível.
Para realizar a medição utiliza um dispositivo que fica imerso no fluido chamado deslocador (“displacer” em inglês) essa medição é recomendada para medição de nível de fluido que formam interface líquido-liquido como o caso de misturas de água e óleo muito comum nos vasos de separação das unidades petrolíferas. O seu princípio de funcionamento é muito semelhante a medição de nível por pressão hidrostática.
uma condição fundamental para esse método de medição é que o elemento de deslocamento se mantenha totalmente submerso (Inundado) pelos fluidos do processo a ser mensurado. Caso essa condição seja modificado para de medição de interface líquido-líquido, sua medição será fortemente comprometida, porque o instrumento perderá a sua referência de medição não conseguirá discriminar entre um nível baixo (total) de líquido e o nível baixo da interface.
Nas medições de interface se espera é medir a altura da interface é não do nível total do fluido nesse caso fica nítido que o nível a ser medidor é o valor do nível entre as flages de forma a se manterem sempre submersos garantindo assim que o deslocador também assim se mantenha.
Quando o instrumento deslocador(displacer) possui o seu próprio tubo de medição (stand-pipe), é importante garantir que sua tomada vaso de processo sejam localizados em alturas acima do ponto da interface, como já comentado acima, para realização da medição da interface o flutuador deve estar inundado pelos fluidos que se espera realizar a medição.
Isso garante que a interface líquida dentro do tubo de medição corresponda à interface dentro do vaso . Se a tomada de processo superior ficar vazia (sem fluido), pode correr existência de bolsão de gases, consequentemente apresentar um erro de medição, essa é mais uma razão a se garantir que esse ponto sempre esteja preenchido de líquido.
Esse efeito pode ser verificado em caso desse tipo de medição quando de utiliza o visor de nível.
Calcular a força de flutuação em um elemento deslocador devido a uma combinação de dois líquidos não é tão difícil quanto parece. O Princípio de Arquimedes ainda se mantém: essa força flutuante é igual ao peso do (s) fluido (s) deslocado (s).
Tudo o que precisamos fazer é calcular os pesos e volumes combinados dos líquidos deslocados para calcular a força de flutuação.
Para um único líquido, a força de empuxo é igual à densidade de peso desse líquido (γ) multiplicada pelo volume deslocado (V):
F flutuante = γxV
Para uma interface de dois líquidos, a força de empuxo é igual à soma dos dois pesos líquidos deslocados, sendo que cada termo de peso líquido é igual à densidade de peso desse líquido multiplicada pelo volume deslocado desse líquido:
F flutuante = (γ 1xV 1 ) + (γ 2 x V 2 )
Assumindo um deslocador de área de seção transversal constante ao longo de seu comprimento, o volume para o deslocamento de cada líquido é simplesmente igual à mesma área (πr 2) multiplicada pelo comprimento do deslocador submerso nesse líquido:

F flutuante = (γ 1 x (πr 2)xl 1) + (γ 2 x (πr 2) x l 2 )
Como a área (πr 2) é comum aos dois termos de flutuabilidade nessa equação, podemos fatorá -la por uma questão de simplicidade:
F flutuante = (πr 2 ) X (γ 1 l 1 + γ 2 l 2 )
Estando de posse dos dados de processo e dos dimensionais do deslocador podemos agora determinar os pontos de calibração do instrumento, considerando sempre que seu princípio de medição está diretamente relacionado com elemento deslocador. Embora seja necessário aplicarmos alguns cálculos para determinar os valores da interface, podemos considerar que esse processo é relativamente simples e fácil quando consideremos que os valores de LRV e URV são valores pares, bastante semelhantes dos valores encontrados para os cálculos de nível por pressão hidrostático.
Iniciamos pensando na condição da interface em sua condição inferior isso é, o deslocador com a interface no valor inferior, na sequência criamos a condição de cenário com a interface no valor de nível alto, nesta condição o deslocar deve assumir uma condição superior de sua faixa de medição.
Nas ilustrações apresentadas abaixo apresentam o esboço de cada cenário permitindo maior clareza para o entendimento desse processo de medição.
Vamos agora apresentar uma condição supondo a seguinte condição:
A condição em que o instrumento esteja medindo o nível da interface entre dois líquidos como densidades específicas: 0,850 e 1,10. Considerando o deslocador possuindo as seguintes dimensões:
Comprimento deslocador de 30″ polegadas/(762 mm) e um diâmetro deslocador de 2,75 polegadas/(69,85mm) (raio = 1,375 polegadas / (34,93mm) ).
Vamos supor ainda que o LRV, neste caso, é onde a interface está na parte inferior do deslocador e o URV é onde a interface está no topo do deslocador.
Considerando os níveis de interface LRV e URV nas extremidades do comprimento do deslocador simplifica nossos cálculos de LRV e URV, começaremos avaliando a condição do LRV será simplesmente o deslocador completamente submerso em líquido leve e o do URV simplesmente seja o corpo imerso completamente submerso em líquido pesado.

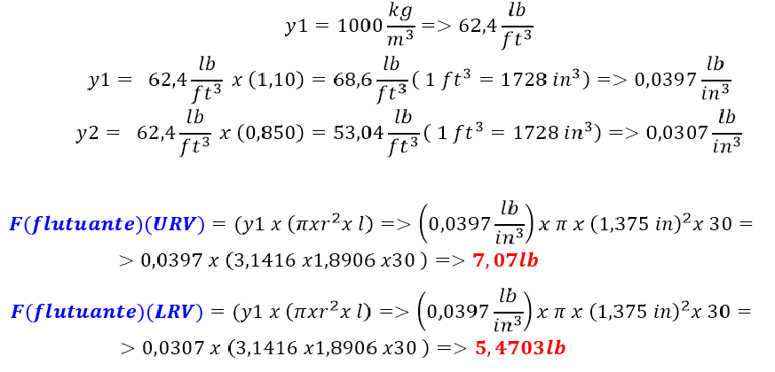
Calculando o LRV força flutuante: Fflutuante (LRV) = (y1 x Vvolume) = [y1 x (π x r2 x l)];
Calculando o URV força flutuante: Fflutuante (URV) = (y2 x Vvolume) = [y2 x (π x r2 x l)];
Vejamos um exemplo para condição hipotética com os cálculos abaixo:
Como exercício vamos fazer a conversão da densidade para que possamos verificar;
Alguns fabricantes em seus manuais os valores de medidas são apresentando com base no sistema internacional de medida, no caso desse instrumento cuja a sua referência para calibração os padrões utilizados de pesos, neste caso a unidade utilizado é libra(lb) nos Estados Unidos EUA em particular utiliza o símbolo “#” onde cada libra representa o valor de 0,453 592 37 quilograma.

Como aprendizado estaremos realizando o mesmo cálculo acima caso encontremos a condição para apresentação dos valores com base do Sistema Internacional de medida:

A flutuabilidade de qualquer porcentagem de medição entre o LRV (0%) e o URV (100%) pode ser calculada por interpolação:

VÍDEO DE PROCEDIMENTO DE CALIBRAÇÃO
Cálculos de medição de nível por displacer
https://www.magnetrol.com/pt/transmissor-de-deslocamento
https://krohne.com/en/products/level-measurement/level-transmitters/displacer-level-transmitters/
Créditos: Tony R. Kuphaldt – Licença Creative Commons Atribuição 4.0



