Nos processos industriais para controle das variáveis dentro de valores esperado de forma a garantir a qualidade e produtividade. Para melhor controle dessas variáveis recomenda-se o uso de válvulas que operam entre abertas de forma a encontrar um valor que permita manter a variável no valor desejado. Podendo ser comprada os dispositivos eletrônicos chamados resistores variáveis comuns nos circuitos elétricos e eletrônicos assim como esse componente regulando a corrente no circuito. As válvulas de controle fazendo o controle do fluxo do fluido. Os resistores nos circuitos quando a corrente passa através do resistor esse componente dissipa calor, quando calculado para o circuito se faz necessário cuidar para que esse não exceda do valor permitido. Como os resistores, a forma que essa energia dissipada assume é principalmente calor, embora parte da energia dissipada se manifeste na forma de vibração e ruído.
O ruído da válvula pode ser grave em alguns casos, especialmente em certas aplicações de fluxo de gás. Um importante métrico de desempenho para válvulas de controle é a produção de ruído expressa em decibéis (dB).
Na maioria das válvulas de controle, o mecanismo dominante de dissipação de energia vem como resultado da turbulência introduzida no fluido à medida que ele percorre porções constritivas da guarnição da válvula.
A ilustração a seguir mostra esses pontos constritivos em dois tipos diferentes de válvulas de controle (mostrados por setas):

Para garantir controle adequando do fluxo do fluido através da válvula de forma a obter um controle sem que ocorram efeitos destrutivos a válvula é fundamental que seja feito correto dimensionamento da válvula.
Antes de iniciarmos o calculo do dimensionamento da válvula precisamos entender alguns fenômenos físicos que estudam o mecanismo a dinâmica do fluido na tubulação um dos fenômenos que precisamos entender é o fenômeno de turbulência, pois esse é um dos fenômenos que mais influenciam no dimensionamento.
As válvulas de controle são classificadas em sua capacidade de atenuar o fluxo de fluido da mesma forma que os resistores são capazes de atenuar o fluxo de elétrons em um circuito(corrente elétrica).
Para resistores, a unidade de medida para restrição de fluxo de elétrons é o ohm: 1 ohm de resistência resulta em uma queda de tensão de 1 volt através dessa resistência dada uma corrente através da resistência igual a 1 ampere:

Onde,
R = Resistência elétrica em (ohms)
V = Queda de tensão elétrica em (volts)
I = corrente elétrica em (amperes)
A Lei de Ohm é uma relação simples e linear, expressando o “atrito” encontrado pelos portadores de carga elétrica à medida que fluem lentamente por um objeto sólido.
Quando um fluido se move turbulentamente através de qualquer restrição, a energia é inevitavelmente dissipada nessa turbulência.
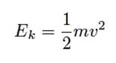
A quantidade de energia dissipada é proporcional à energia cinética do movimento turbulento, que é proporcional ao quadrado da velocidade de acordo com a equação clássica da energia cinética para objetos em movimento:

Se reescrevermos esta equação para expressar a quantidade de energia cinética representada por um volume de fluido em movimento com velocidade v, ficaria assim:

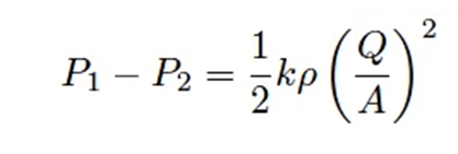
Sabemos que a quantidade de energia dissipada pela turbulência em tal fluxo de fluido será uma proporção (k) da energia cinética total, então:

Qualquer energia perdida na turbulência eventualmente se manifesta como uma perda na pressão do fluido a jusante dessa turbulência.
Assim, uma válvula de controle estrangulando um fluxo de fluido terá uma pressão a montante maior do que a pressão a jusante (assumindo que todos os outros fatores, como tamanho do tubo e altura acima do nível do solo, sejam os mesmos a jusante que a montante):

Essa queda de pressão (P1 − P2, ou ΔP) é equivalente à queda de tensão vista em qualquer resistor de corrente e pode ser substituída pela energia dissipada por unidade de volume na equação anterior.
Também podemos substituir Q/A pela velocidade v porque sabemos que a vazão volumétrica (Q) é o produto da velocidade do fluido pela área da seção transversal do tubo (Q = Av) para fluidos incompressíveis, como líquidos:

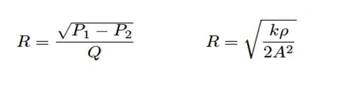
Em seguida, vamos resolver um quociente com queda de pressão (P1 − P2) no numerador e vazão (Q) no denominador para que a equação tenha uma semelhança com a Lei de Ohm (R = V/I ):

Cada lado da última equação representa uma espécie de “Lei de Ohm” para restrições de líquidos turbulentos: o lado esquerdo expressando “resistência” do fluido nas variáveis de estado de queda de pressão e fluxo volumétrico, e o termo do lado direito expressando “resistência” do fluido” em função da densidade do fluido e da geometria de restrição.
Podemos ver como a queda de pressão (P1 − P2) e a vazão volumétrica (Q) não estão linearmente relacionadas como a tensão e a corrente são para os resistores, mas ainda assim temos uma quantidade que atua como um termo de “resistência”:

Onde,
R = “resistência” do fluido
P1 = Pressão do fluido a montante
P2 = Pressão do fluido a jusante
Q = Vazão de fluido volumétrico
k = Fator de dissipação de energia turbulenta
ρ = Densidade de massa do fluido
A = área transversal de restrição
A “resistência” do fluido de uma restrição depende de várias variáveis: a proporção de energia cinética perdida devido à turbulência (k), a densidade do fluido (ρ) e a área da seção transversal da restrição (A).
Em uma válvula de controle que estrangula uma corrente de fluxo de líquido, apenas a primeira e a última variáveis estão sujeitas a alterações com a posição da haste, permanecendo a densidade do fluido relativamente constante.
Em uma válvula de controle totalmente aberta, especialmente válvulas que oferecem um caminho quase irrestrito para o fluido em movimento (por exemplo, válvulas de esfera, válvulas de disco excêntrico), o valor de A estará em um valor máximo essencialmente igual à área do tubo, e k será quase zero. Em uma válvula de controle totalmente fechada, A é zero, criando uma condição de “resistência” infinita ao fluxo de fluido.
É costume na engenharia de válvulas de controle expressar a “restritividade” de qualquer válvula em termos de quanto fluxo ela passará dada uma certa queda de pressão e gravidade específica do fluido (Gf).
Essa medida de desempenho da válvula é chamada de capacidade de vazão ou coeficiente de vazão, simbolizada como Cv. Um valor de capacidade de vazão maior representa uma válvula menos restritiva (menos “resistiva”), capaz de passar maiores vazões para a mesma queda de pressão.
Isso é análogo a expressar a classificação de um resistor elétrico em termos de condutância (G) em vez de resistência (R): quantos amperes de corrente ele passará com 1 volt de queda de potencial (I = GV em vez de I = V/R).
Se voltarmos a uma de nossas equações anteriores que expressam a queda de pressão em termos de vazão, área de restrição, fator de dissipação e densidade, seremos capazes de manipulá-la em uma forma que expressa a vazão (Q) em termos de queda de pressão e densidade. , coletando k e A em um terceiro termo que se tornará a capacidade de fluxo (Cv):

Primeiro, devemos substituir gravidade específica (Gf ) por densidade de massa (ρ) usando a seguinte definição de gravidade específica:

O primeiro termo de raiz quadrada na equação, √(2A2/kpwater), é a capacidade da válvula ou fator Cv. Substituir Cv por este termo resulta na forma mais simples de equação de dimensionamento de válvula a (para fluidos incompressíveis):

Onde,
Q = Vazão volumétrica de líquido (galões por minuto, GPM)
Cv = Coeficiente de vazão da válvula
P1 = Pressão a montante do líquido (PSI)
P2 = Pressão a jusante do líquido (PSI)
Gf = gravidade específica do líquido (relação entre a densidade do líquido e a densidade padrão da água)
Nos Estados Unidos da América, Cv é definido como o número de galões por minuto de água que fluirá através de uma válvula com 1 PSI de queda de pressão.
Uma expressão de capacidade de válvula semelhante usada com unidades métricas classifica as válvulas em termos de quantos metros cúbicos por hora de água fluirá através de uma válvula com uma queda de pressão de 1 bar. Esta última capacidade de fluxo é simbolizada como Kv.
Para obter os melhores resultados prevendo os valores de Cv necessários para válvulas de controle em qualquer serviço, é recomendável que você use o software de dimensionamento de válvulas fornecido pelos fabricantes de válvulas de controle.
As fórmulas mostradas aqui não levam em conta todos os fatores (tais fatores incluem compressibilidade do fluido, viscosidade, calor específico, pressão de vapor, etc.) que influenciam a vazão do fluido e a queda de pressão e, portanto, produzem apenas valores aproximados.
O software de dimensionamento de válvula moderno é fácil de usar, especialmente quando referenciado a modelos específicos de válvula de controle vendidos por esse fabricante, e é capaz de levar em conta diversos fatores que afetam o dimensionamento adequado.
Curiosidades:
