Uma coluna vertical de fluido gera uma pressão na parte inferior da coluna devido à ação da gravidade sobre esse fluido. Quanto maior for a altura vertical do fluido, maior será a pressão, sendo todos os outros fatores iguais. Este princípio nos permite inferir o nível (altura) do líquido em um vaso por meio da medição da pressão.
Pressão de uma coluna de fluido
Uma coluna vertical de fluido exerce uma pressão devido ao peso da coluna. A relação entre a altura da coluna e a pressão do fluido na parte inferior da coluna é constante para qualquer fluido específico (densidade), independentemente da largura ou forma do vaso. Este princípio torna possível inferir a altura do líquido em um vaso medindo a pressão gerada no fundo:

A relação matemática entre a altura da coluna de líquido e a pressão é a seguinte:
Onde, P = pressão hidrostática ρ = densidade de massa do fluido em quilogramas por metro cúbico (métrico) ou pacotes por pé cúbico (britânico) g = Aceleração da gravidade γ = densidade de peso do fluido em newtons por metro cúbico (métrico) ou libras por pé cúbico (britânico) h = Altura da coluna de fluido vertical acima do ponto de medição de pressão

Por exemplo, a pressão gerada por uma coluna de óleo de 12 pés de altura (h) com uma densidade de peso de 40 libras por pé cúbico (γ) é:

Considerando:
P = pressão hidrostática
ρ = densidade de massa do fluido em quilogramas por metro cúbico (métrico) ou libras por pé cúbico (britânico) g = Aceleração da gravidade
ou
P= γ xh
γ = densidade de peso do fluido em newtons por metro cúbico (métrico) ou libras por pé cúbico (britânico)
h = Altura da coluna de fluido vertical acima do ponto de medição de pressão
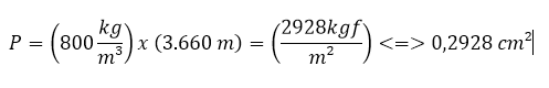
Por exemplo, a pressão gerada por uma coluna de óleo de 3.660 m de altura (h) com uma densidade de peso de 640 quilogramas por metro cúbico (γ) é:


Na pratica não é comum encontrar instrumento com indicação em metro kgf/m³ ou mesmo lb/pe² devemos então fazer conversão para unidade mais comum por exemplo de kgf/m³ para kfg/cm² nesta caso devemos pegar o resultado da expressão

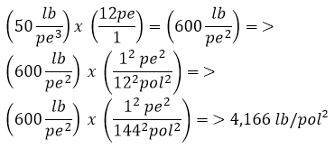
Já no caso de pedição utilizando unidade (britânica) lbs/pe³ fazer cancelamento das unidades, usando o resultado da expressão de 600 libras por pé quadrado (PSF). Para converter na unidade de pressão mais comum de libras por polegada quadrada, multiplicando a expressão pela proporção de pés quadrados para polegadas quadradas, eliminando a unidade de pés quadrados por cancelamento e deixando polegadas quadradas no denominador:

Assim, um medidor de pressão preso ao fundo do vaso segurando uma coluna de 3,660 m (12 pés) deste óleo registraria 0,2928 kgf/cm² (4,16 PSI). É possível customizar a escala no medidor( manômetro) para ler diretamente a altura em metros ou milimetros de óleo ao invés de uma unidade de pressão, essa customização torna a leitura mais fácil e diretamente do medidor sem a necessidade que fazer a conversão a cada leitura. considerando a relação matemática entre a altura do óleo e a pressão é linear e direta, a indicação do medidor será sempre proporcional à altura.
Um método alternativo para calcular a pressão gerada por uma coluna de líquido é relacioná-la à pressão gerada por uma coluna de água equivalente, resultando em uma pressão expressa em unidades de coluna de água (por exemplo, metros ou milímetros de Coluna de H2O ou simplesmente CA ), que pode então ser convertida em qualquer unidade desejada.
Para nossa coluna hipotética de óleo de 3,6 metros, começaríamos dessa forma calculando a gravidade específica (ou seja, a densidade do óleo em comparação com a água). Com uma densidade de800 kg/m³, o cálculo da gravidade específica se parece com este:

A pressão hidrostática gerada por uma coluna de água de 3,660 metros de altura, podemos fazer conversão direta é claro para milimetro (mm) ou mesmo para polegada, neste caso seria de 144 polegadas de coluna de água (144” CA). Como estamos lidando com um óleo com gravidade específica de 0,800 em vez de água, a pressão gerada pela coluna de óleo de 3,660 metros será apenas 0,800 vezes (80%) a de uma coluna de água de 3660 metros, ou:

Podemos converter este valor de pressão em unidades de medida para outras unidades como para kgf/cm² ou para PSI simplesmente dividindo uma vez que sabemos que:
1PSI equivale a 27,68″ CA = 703 mmCA = 0,703mCA ou
1 kgf/cm² = 10000 mmCA = 10 mCA

Como você pode ver, chegamos ao mesmo resultado de quando aplicamos a fórmula P = γh. Qualquer diferença no valor entre os dois métodos é devido à imprecisão dos fatores de conversão usados (por exemplo, 27,68 ”CA, 62,4 lb / ft3 de densidade para água).
Na prática nos processos industriais utilizamos medidores de pressão manômetros e ou transmissores de pressão para medir o nível do líquido considerando a relação direta de pressão para altura da coluna do fluido em um tanque. Nesta foto abaixo temos um medidor de pressão da Rosemount ( Emerson) modelo 1151 para medir a pressão da coluna de água dentro do tubo de plástico transparente.

Como vimos no inicio desse texto apresentamos de forma resumida que existe uma relação da coluna de um liquido com a pressão o fator que define a pressão conforme apresentado na fórmula é a densidade do fluido , não tendo relação do seu formato desta forma uma vez conhecendo a altura e a densidade temos podemos encontrar a pressão. Considerando que na maioria das vezes o nosso interessa é saber o volume que temos no interior do vaso torna podemos inferir o volume usando instrumentos para detectar a altura da coluna de fluido.

Contanto que a área da seção transversal do vaso seja constante em toda a sua altura, a altura do líquido será diretamente proporcional ao volume de líquido armazenado. A pressão medida no fundo de um vaso pode nos dar uma indicação proporcional da altura do líquido se e somente se a densidade desse líquido for conhecida e constante. Isso significa que a densidade do líquido é um fator criticamente importante para a medição volumétrica ao usar instrumentos de detecção de pressão hidrostática. Se a densidade do líquido estiver sujeita a mudanças aleatórias, a precisão de qualquer nível baseado em pressão hidrostática ou instrumento de volume será correspondentemente não confiável.
Deve-se notar, entretanto, que as mudanças na densidade do líquido não terão absolutamente nenhum efeito na medição hidrostática da massa do líquido, desde que o vaso tenha uma seção transversal constante em toda a sua altura. Um simples experimento mental prova isso: imagine um vaso parcialmente cheio de líquido, com um transmissor de pressão conectado ao fundo para medir a pressão hidrostática. Agora imagine a temperatura desse líquido aumentando, de modo que seu volume se expanda e tenha uma densidade menor do que antes.
Assumindo nenhuma adição ou perda de líquido para ou do vaso, qualquer aumento no nível do líquido será estritamente devido à expansão do volume (diminuição da densidade). O nível do líquido dentro deste vaso aumentará, mas o transmissor sentirá exatamente a mesma pressão hidrostática de antes, uma vez que o aumento no nível é precisamente contrabalançado pela diminuição da densidade (se h aumentar pelo mesmo fator que γ diminui, então P = γh deve permanecer o mesmo!). Em outras palavras, a pressão hidrostática é vista como diretamente proporcional à quantidade de massa líquida contida no vaso, independentemente das mudanças na densidade do líquido. Isso é útil saber em aplicações onde a verdadeira medição da massa de um líquido (ao invés da medição do volume) é preferível ou necessária
Os transmissores de pressão diferencial são o dispositivo de detecção de pressão mais comum usado nesta capacidade para inferir o nível de líquido dentro de um vaso. No caso hipotético do recipiente de óleo que acabamos de considerar, o transmissor se conectaria ao recipiente desta maneira (com o lado alto voltado para o processo e o lado baixo aberto para a atmosfera):

Conectado como tal, o transmissor de pressão diferencial funciona como um transmissor de pressão manométrica, respondendo à pressão hidrostática que excede a pressão ambiente (atmosférica). Conforme o nível do líquido aumenta, a pressão hidrostática aplicada ao lado “alto” do transmissor de pressão diferencial também aumenta, aumentando o sinal de saída do transmissor.
Alguns instrumentos de detecção de pressão são construídos especificamente para medição hidrostática do nível de líquido em vasos, eliminando com tubos de impulso completamente em favor de um tipo especial de diafragma de vedação que se estende levemente para dentro do vaso através de uma entrada de tubo flangeada (comumente chamada de bocal). Um transmissor de nível hidrostático Emerson com um diafragma estendido é mostrado aqui:

A tabela de calibração para um transmissor acoplado ao fundo de um tanque de armazenamento de óleo seria a seguinte, assumindo uma faixa de medição de zero a 3660 mm para a altura do óleo, uma densidade do óleo de 50 libras por pé cúbico e um 4-20 mA faixa do sinal de saída do transmissor:

